Comet breakups are a timely topic right now. The interstellar comet 2I/Borisov just broke into at least two pieces. And though that comet is speeding out of the Solar System, never to be seen again, most of them don't leave the Solar System. Most of them orbit the Sun, and return to the inner Solar System again and again.
A new paper examines the potential hazard to Earth from comets that break into pieces. The author makes the case that comet breakups could have had a hand in shaping the ebb and flow of life on Earth. It could happen again.
In the deep history of the Solar System, there were many more comets than there are now. Nobody will ever know how many, but comets contain a lot of water ice, and scientists generally agree that one of the ways Earth got all its water is from a multitude of comet impacts over a vast period of time.
A 2019 paper looked at the modern threat that comets pose to Earth. It's titled " The Hazard from Fragmenting Comets." The paper's published in the Monthly Notices of the Royal Astronomical Society, and the sole author is W.M. Napier of Armagh Observatory and Planetarium, in Northern Ireland.
Napier gets right down to business in the introduction to the paper when he mentions the Younger Dryas Boundary (YDB). The Younger Dryas was a period of cooling that occurred around 12,900 to 11,700 years ago. Geological evidence shows a period of rapid cooling across Earth's northern hemisphere during that time.
The Younger Dryas is a noteworthy time in Earth's history. It was one of several interruptions to the warming of the Earth, and that warming commenced about 25,000 years ago. Researchers have long wondered if there was a celestial cause for the Younger Dryas period of cooling, due to the high amount of platinum dust in the Earth's northern hemisphere from that time.
As Napier writes in the paper, the celestial cause "... is supported by the presence of high concentrations, at the boundary, of platinum-rich dust at thirty sites throughout the northern hemisphere." He also notes the presence of "impact proxies such as glassy microspherules, nanodiamonds, and an estimated ten million tons of magnetic spherules argued to be of impact origin."
Napier also mentions evidence of rapid changes to flora and fauna combined with the platinum and other indications of celestial impacts, and the rapid cooling of the climate. He also cites evidence of large-scale wildfires at the same time, when up to 10% of Earth's biomass was combusted in a period of weeks, maybe only days.
In a sense, this is just the tip of the iceberg of the evidence supporting an impact event as the cause of the Younger Dryas cooling. Napier cites many other studies in his paper.
That background leads us to the main thrust of his paper: the proposition that comet breakups pose a threat to Earth, and have been responsible for climate upheaval in the past. Napier is not the first to research this. There are many research papers on the same topic, and Universe Today has covered several of them over the years.
Napier himself has written other papers on the topic. In 2010 he published the paper " Palaeolithic extinctions and the Taurid Complex " in the MNRAS. In that paper he presented evidence that a large, 50 to 100 km comet broke up, and some of it struck Earth. The impact(s), he argued, caused rapid cooling, and also the Taurid meteor showers.
In that paper he also wrote that "Subkilometre bodies in meteor streams may present the greatest regional impact hazard on time-scales of human concern."
That's still his concern, and his new paper supports it. But this paper attempts to get more more specific. He writes: "The object of this paper is to model the disintegration of the progenitor comet in more detail, to see whether a plausible match can be made between the astronomical environment of that time and the terrestrial record; and hence, more generally, to discuss the role of such comets in past climate variations."
Much of this type of research looks at the comet Encke, aka 2P/Encke. It's a periodic comet first recorded in 1786. Many researchers have wondered if Encke is responsible for terrestrial events like the Younger Dryas Cooling. There's even some evidence that the Tunguska Event was the result of a chunk of comet Encke impacting Earth, and that the Encke we see now is only a fraction the size of its former self.
This brings us to an essential part of this research. Comets do break up, and we know that. Comets aren't solid chunks of rock. They contain a great many fractures and cracks, and in those voids are frozen volatiles. As a comet approaches the Sun, it warms up. As some of those volatiles sublimate into gas, a comet can break apart.
Depending on the size and trajectory of a comet when it breaks up, the cross-section of spreading debris, or trail length, could quickly become larger than Earth. This means that impacts with debris are much more likely than impacts with the nucleus of the comet. Encounters with these fragment swarms are a main thrust of the paper.
Napier's paper focuses on what are called Jupiter-family comets, of which Comet Encke is a member. (Encke is actually a member of a sub-group called Encke-type comets, whose orbits don't reach Jupiter.) These comets are under the gravitational sway of Jupiter, and have orbits of 20 years or fewer. Encke itself orbits the Sun every 3.3 years. Since these comets make frequent trips to the inner regions of the Solar System, they are a greater risk to Earth.
Napier created models of Jupiter-family comets of 20 km, 50 km, 100 km, and 150 km diameters. (12, 31, 62, and 93 miles.) The models followed the evolution of the comet for 10,000 years. The paper points out that though comets lose mass by sublimation, that mass loss is orders of magnitude lower than mass loss by fragmentation during the 100 century simulation.
The study and its models point out that a comet is most likely to occur near perihelion, when the comet is warmed by the Sun.
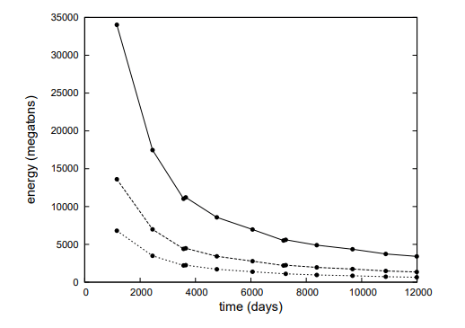
The end result is this: Most of the models "... predict something like 750-1500 splitting events yielding fragment clusters each of mass > 1017gm, over timescales of order 6000 - 20,000 years. At an encounter speed of ?30 km s?1 , 1017gm of debris carries 107 megatons of impact energy." For comparison, the bomb that the USA dropped on Hiroshima, Japan, was only 15 kilotons.
In any likely scenario, all of the debris wouldn't strike Earth. The trail of debris would spread and become diffuse during perihelion, but would shrink again during aphelion.
Debris trail lengths become longer over time, close to perihelion. But by the same token, the impact energy lessens as their velocity decreases.
In a nutshell, Napier's study shows how comets are likely to fragment and lose considerable mass during encounters with the inner Solar System. The debris trail can expand to a cross section larger than Earth, increasing the odds of impacts with Earth. Also, the debris has considerable impact energy. But over time, that energy weakens, and the debris trail contracts again.
According to Napier's paper, and to other research like it, comet fragmentation is not rare, and poses a real threat to humanity. There's considerable evidence that the disintegration of comets has already shaped Earth's climate, like during the onset of the Younger Dryas. And it's possible that comet fragmentation led to the demise of the Akkadian Empire.
In the conclusion to his paper, the author writes: "I have modelled the disintegration of a large comet in a short-period orbit, using Comet Encke as an archetype, and find that there is a reasonable expectation of one or more brief meteor 'hurricanes', with intensities far beyond modern experience, in the course of disintegration of the progenitor."
The fact that a single comet could produce multiple meteor "hurricanes" is troubling. And it's not only impacts from large bodies that pose a threat. "Enough meteoric smoke may be created during such encounters to generate sudden coolings of some years' duration, along with widespread wildfires," Napier writes.
The final sentence in his paper reads "The terrestrial upsets at the onset of the Younger Dryas boundary of 12,900 BP (Before Present), and the simultaneous collapse of early civilisations around 2350 BC, may have been triggered by events of this character."
NASA and other agencies are busily cataloguing potentially hazardous objects that may strike Earth, mostly asteroids. And the upcoming Double Asteroid Redirection Test (DART) Mission will test technologies to redirect a potentially hazardous asteroid.
But asteroids don't tend to break up like comets do. There's been some research into how to deal with dangerous comets, especially by deflecting them with lasers.
But as far as protecting Earth from fragmenting comets and their debris streams, there's a lot of work to be done.
More:
- Research Paper: The hazard from fragmenting comets
- Research Paper: Palaeolithic extinctions and the Taurid Complex
- Wikipedia: Younger Dryas
Universe Today







