We're getting better and better at detecting exoplanets. Using the transit method of detection, the Kepler Space Telescope examined over 530,000 stars and discovered over 2,600 explanets in nine years. TESS, the successor to Kepler, is still active, and has so far identified over 1800 candidate exoplanets, with 46 confirmed.
But what if, hidden in all that data, there were even more planets? Astronomers at Warwick University said they've found one of these "lost" planets, and that they think they'll find even more.
The team of astronomers published their results in a research letter titled " NGTS-11 b (TOI-1847 b): A Transiting Warm Saturn Recovered from a TESS Single-transit Event." Lead author is Dr Samuel Gill from the Department of Physics at the University of Warwick. The letter is published in The Astrophysical Journal Letters.
Every method of detection has an inherent selection bias. A single transit in front of a star is not enough to be considered a planet detection. At least two transits are needed. So with the transit method, detection is biased towards planets with short orbital periods. It's also biased towards finding larger planets, which block more starlight causing a bigger dip in brightness.
In their letter, the authors write, "... the transit geometry imposes a strong selection bias for close-in orbits, and only a handful of well-characterized transiting exoplanets are known to have orbital periods longer than about 30 days."
Since TESS only looks at most sections of the sky for 27 days, it's biased toward detecting planets that complete two transits in that time period, meaning it's likely to find planets close to their stars. And those planets are bound to be hot ones; too hot for liquid water or for life.
The Kepler mission was similar, and if you visit NASA's Exoplanet Catalog, terrestrial planets like Earth make up a tiny part of the catalog.
But hidden in all of the TESS data are detections of single transits: planets that are too far from their stars to complete two transits while TESS is watching. Those planets are further away from their stars, and cooler than the typical hot planets we find closer to their stars.
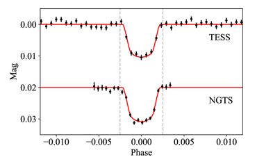
The team of astronomers at Warwick University are developing a way to find some of those planets lost in the TESS data. Their first find is NGTS-11 b, also called TOI-1847 b. They found it in 2018 with the Next-Generation Transit Survey (NGTS) in Chile, after watching for 79 nights and spotting a second transit.
"By chasing that second transit down we've found a longer period planet," lead author Gill said in a press release. "It's the first of hopefully many such finds pushing to longer periods. These discoveries are rare but important, since they allow us to find longer period planets than other astronomers are finding. Longer period planets are cooler, more like the planets in our own Solar System."
NGTS-11 b orbits a star that's about 620 light years away. It's five times closer to its star than Earth is to the Sun, and its orbit is only 35 days.
Co-author Dr Daniel Bayliss from the University of Warwick said, "This planet is out at a thirty-five days orbit, which is a much longer period than we usually find them. It is exciting to see the Goldilocks zone within our sights."
"NGTS-11b has a temperature of only 160°C – cooler than Mercury and Venus. Although this is still too hot to support life as we know it, it is closer to the Goldilocks zone than many previously discovered planets which typically have temperatures above 1000°C," said Dr. Gill.
These results come from a lot of hard work. First of all, TESS had to spot at least one transit. Then the team investigated that single transit, all aspects of the star, and all of the data on it. Once they determined that the single TESS transit was a viable candidate for follow-up, they turned to the Next Generation Transit Survey (NGTS) in Chile.
NGTS is an array of twelve, small robotic telescopes designed to find exoplanets of Neptune size or smaller around bright stars. It can monitor stars for months on end, and is very precise.
Co-author Professor Pete Wheatley from the University of Warwick said, "The original transit appeared just once in the TESS data, and it was our team's painstaking detective work that allowed us to find it again a year later with NGTS. NGTS has twelve state-of-the-art telescopes, which means that we can monitor multiple stars for months on end, searching for lost planets. The dip in light from the transit is only 1% deep and occurs only once every 35 days, putting it out of reach of other telescopes."
Single transits are common in TESS data, and before the team decided to use NGTS to investigate this one, they had to rule out other possibilities. They ruled out things like asteroids or other anomalies. They also searched data from the ESA's Gaia mission for explanations for the dip in brightness, and looked for things like nearby eclipsing binaries. None of those could explain it, so only then did they turn to NGTS.
They observed the star with one of NGTS's twelve 'scopes for a total of 79 nights, and 105,642 exposures. They employed an algorithm to comb through all that data, looking for the right light curve that signalled a second transit of the suspected exoplanet. Finally, on the night of October 24th 2019, NGTS spotted it.
After detecting the second transit with NGTS, they turned to other follow-up observations. They used the ESO's Leonard Euler telescope, and the HARPS spectrograph on the ESO's 3.6 m telescope to get radial velocity measurements. All of that data ruled out a low-mass companion star as the cause of the transit.
After a detailed analysis of all that data, they were able to characterize NGTS-11 b more completely. It's roughly the same size and mass as Saturn. It's 0.81 Jupiter radii, and .034 Jupiter masses. It's still hot compared to Earth, at about 160 Celsius (320 F), but much cooler than Venus and Mercury.
"There are hundreds of single transits detected by TESS that we will be monitoring using this method."Dr. Samuel Gill, Lead Author, University of Warwick
These results highlight the synergy between space telescopes like TESS, and more nimble, economical facilities like NGTS. As the authors write in their research letter, "The strategy of large investments of photometric follow-up with instruments such as NGTS thereby allows efficient confirmation of single-transit events without adding to the considerable pressure on high-precision radial-velocity instruments. This highlights the power of high-precision ground-based photometric facilities in revealing longer-period transiting exoplanets that TESS alone cannot discover."
After this success, the team plans to utilize their method to find even more "lost" planets in all of that TESS data.
"There are hundreds of single transits detected by TESS that we will be monitoring using this method," said lead author Gill. "This will allow us to discover cooler exoplanets of all sizes, including planets more like those in our own Solar System. Some of these will be small rocky planets in the Goldilocks zone that are cool enough to host liquid water oceans and potentially extraterrestrial life."
Universe Today



