Hydrogen is the most abundant element in the Universe. By far. More than 90% of the atoms in the Universe are hydrogen. Ten times the number of helium atoms, and a hundred times more than all other elements combined. It's everywhere, from the water in our oceans to the earliest regions of the Cosmic Dawn. Fortunately for astronomers, all this neutral hydrogen can emit a faint emission line of radio light.
It's known as the H I hydrogen line, or the 21-centimeter line. Hydrogen consists of a single electron bound to a single proton. When the spins of these two are aligned in the same way, hydrogen has a slightly higher energy than when the spins are oppositely directed. So the electron can undergo a spin flip and release a bit of energy as a photon of light. The hydrogen doesn't need to be superheated or ionized to do this. It can happen spontaneously. So wherever there are clouds of hydrogen, you can be sure it's emitting 21-centimeter radio light.
Since the emission line has a very specific wavelength, we can use it to measure the relative motion or cosmological redshift of hydrogen. One of the first uses of this trick was to measure the motion of hydrogen in the Milky Way and other nearby galaxies, which allowed Vera Rubin to discover dark matter. Now a new study shows how the 21-centimeter line might give us the first evidence of dark matter particles.
The study focuses on the Hydrogen Epoch of Reionization Array (HERA), which is a radio telescope in South Africa particularly suited for observing hydrogen in the early Universe. When it comes online, HERA will map the large-scale structure of hydrogen during the cosmic dark ages and cosmic dawn period, which is the time between the fading of the primeval fireball of the Big Bang and the appearance of the first stars and galaxies. During this period the cosmos was filled with dark matter and warm clouds of hydrogen gas.
If dark matter is truly neutral, and only interacts with matter and light gravitationally, then the 21-centimeter light is basically the only light emitted during this period. But the most popular model for dark matter involves particles known as WIMPs. Neutral dark matter particles are much heavier than regular matter particles such as protons and electrons. In some dark matter particles, these WIMPs occasionally decay into regular matter, creating a burst of energetic positrons and electrons, or protons and anti-protons. If that's the case, then these energetic decay particles would interact with the 21-centimeter light.
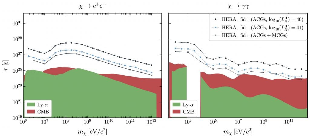
Based on observations of the cosmic microwave background and other studies, we know that WIMPs would have a very long decay half-life. We've seen no evidence of dark matter decay so far, which means either WIMPs don't exist or their half-life is much more than a trillion years. This new study shows that even if WIMPs had a half-life a thousand times longer, HERA would be able to detect its effect on the early 21-centimeter line. And it would have enough data to do that within 1,000 hours of observation.
Even if HERA doesn't detect any evidence of dark matter decay, it would still be a large step forward. Its constraints on dark matter half-life would be strong enough to rule out some WIMP models and winnow the range of models.
Reference: Facchinetti, GaƩtan, et al. " 21cm signal sensitivity to dark matter decay." *arXiv preprint* arXiv:2308.16656 (2023).
Universe Today


