In the constellation Taurus, there is a cluster of a few hundred stars known as the Hyades. The cluster is just 150 light-years away, and it could be harboring a stellar-mass black hole.
The idea of black holes lurking in star clusters is not new. Clusters often have large, bright stars that will eventually become neutron stars or black holes, so it is probable that earlier stars have already taken that path. The problem is proving it. Unless a black hole is actively consuming nearby material, it will be dark and difficult to see among a cluster of bright stars. So astronomers must use indirect observations to uncover the black hole.
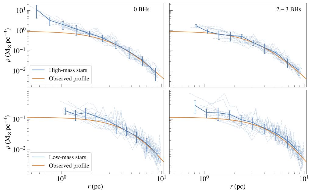
To look for black holes, the team compared observations of the Hyades cluster by the Gaia Spacecraft with N-body computer simulations. The Hyades is an open cluster of stars, so it is only loosely gravitationally bound. Occasionally, a close encounter between two stars will toss one of them out of the cluster. Other close encounters will push a star more toward the center of the cluster, making it more strongly bound to the cluster. All of this contributes to how the density of stars within the cluster varies by distance from its center.
One of the things the team compared is what is known as a half-mass radius. That is the radius within which half the cluster's mass is contained. With the presence of some black holes, the cluster should be slightly more dense, and thus the half-mass radius should be smaller. Another aspect is the central density, which should spike a bit if black holes are present. Given all this, a comparison between N-body simulations and Gaia data finds that the best model predicts the presence of 2 or 3 stellar-mass black holes.
Unfortunately, the results aren't conclusive. Although 2-3 black holes are the best fit for observational data, a model with no black holes, or up to 5 black holes is still a reasonable fit. And the central density spike of the cluster isn't something the Gaia observations were sensitive enough to observe. The team even looked at 56 stars in the cluster that were binary star candidates, just in case one of them was a star orbiting a black hole, but none of the candidates were consistent with a black hole companion.
So while it's quite possible that the Hyades contains a stellar mass black hole, it will take more observations to be sure. Only then will we truly know whether there is a monster lurking in our midst.
Reference: Torniamenti, Stefano, et al. " Stellar-mass black holes in the Hyades star cluster? " *Monthly Notices of the Royal Astronomical Society* 524.2 (2023): 1965–1986.
Universe Today
